Halo Sahabat SIMAK UI!
Menghadapi soal TPS SIMAK UI Matematika Dasar seringkali menjadi tantangan tersendiri bagi banyak calon mahasiswa. Bukan hanya sekadar kemampuan berhitung, tetapi juga menuntut ketelitian, logika yang tajam, serta strategi dalam memahami pola soal dengan cepat dan tepat di bawah tekanan waktu yang terbatas. Banyak peserta yang sebenarnya sudah menguasai materi, namun masih kesulitan karena belum terbiasa dengan tipe soal dan cara penyelesaiannya.
Oleh karena itu, penting untuk melatih diri melalui berbagai contoh soal yang relevan agar kamu semakin familiar dengan pola yang sering muncul dalam ujian. Dengan latihan yang konsisten, kamu tidak hanya akan lebih percaya diri, tetapi juga mampu mengerjakan soal dengan lebih efisien dan akurat.
Yuk, simak dan pelajari contoh soal TPS SIMAK UI Matematika Dasar berikut ini agar persiapanmu semakin matang dan peluang lolos ke kampus impian semakin besar!
1. Jika A adalah invers dari matriks ![]()
maka ![]()
akan menghasilkan nilai x dan y yang memenuhi 2x+y…
A) -10/3
B) −1/3
C) 1
D) 9/7
E) 20/3
2. Untuk I adalah matriks identitas berukuran 3×3 dan A=
maka 3I+5A3−2A7 =

baca juga: intensif cpns
3. Misalkan A=

di mana x dan y merupakan salah satu solusi dari sistem pertidaksamaan x+y≥0 dan
x2+y2≤3/2
sedemikian sehingga AT=A-1, maka nilai x + y =

4. Diberikan matriks A=

dan B=
![]()
Jika AT AX=ATB, maka jumlah semua entri dari matriks X adalah …
A) 2 1/2
B) 4 1/2
C) 5
D) 5 1/2
E) 7
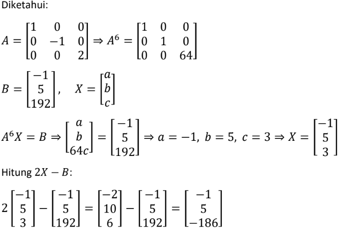
5. Jika matriks X memenuhi A6X=B , dengan A =
maka 2X−B=…
6. Diketahui A= ![]()
Jika A = A-1, nilai |a-d| adalah
A) 0
B) 1
C) 2
D) 3
E) 4
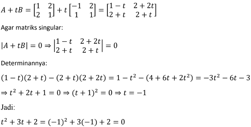
7. Diketahui A =
dan B =
![]()
Jika A + tB merupakan matriks singular, nilai t2 + 3t + 2 adalah …
A) 0
B) 1
C) 2
D) 3
E) 5
baca juga: Les Privat TK
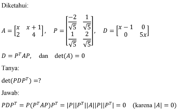
8.
Jika A =
![]()
P =
dan D =
![]()
dengan D = PTAP dan det(A) = 0, maka nilai det(PDPT) adalah …
A) 1
B) 4
C) 0
D) 3
E) 2
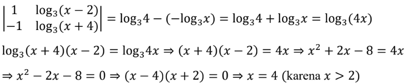
9. Jika ![]()
nilai x yang memenuhi adalah …
A) −4
B) −2 dan 4
C) −2
D) 2
E) 4
10.
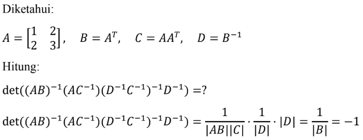
Jika diberikan A = ![]()
B = AT, C = AAT dan D = B−1, m maka det((AB)−1(AC−1)(D−1C−1)−1D−1) = ⋯
A) 0
B) 1
C) −2
D) −1
E) 2
baca juga: bimbel cpns online terbaik
Kunci Jawaban dan Pembahasan Soal TPS SIMAK UI Matematika Dasar

1. B

2. D.

3. E.

4. D.

5. C.

6. E.










