Daftar Isi
Halo sahabat SIMAKUI!
Pendaftaran masuk Universitas Indonesia melalui Seleksi Masuk UI harus dipersiapkan sejak sekarang dengan berlatih Matematika Soal Kemampuan IPA SIMAK UI 2015. Bagi calon mahasiswa yang berminat pada program studi yang berkaitan dengan matematika, menguasai rumus matematika adalah hal yang krusial. Yuk, simak artikel berikut untuk memudahkan menghafal rumus matematika.
Baca juga: bimbel sbmptn
Tips menghafal rumus matematika

Sumber: Freepik
Berikut adalah beberapa tips untuk membantu Anda menghafal rumus Matematika secara efektif dalam persiapan untuk SIMAK UI.
1. Pahami Konsep Dasar Rumus
Sebelum mencoba menghafal rumus, pastikan Anda memahami konsep dasar di balik setiap rumus. Memahami logika dan aspek teoritis rumus akan membantu Anda mengingatnya dengan lebih baik.
Baca juga: bimbel utbk
2. Buat Mind Maps atau Diagram Visual
Buat mind maps atau diagram visual untuk menyajikan hubungan antara konsep-konsep matematika dan rumus-rumusnya. Visualisasi dapat membantu memperkuat koneksi antara konsep, memudahkan pengingatan, dan mempercepat proses pemahaman.
3. Terapkan Rumus dalam Konteks Nyata
Terapkan rumus-rumus matematika dalam konteks nyata. Misalnya, terapkan rumus dalam permasalahan dunia nyata atau buat kasus-kasus studi. Dengan cara ini, Anda tidak hanya menghafal rumus, tetapi juga memahami aplikasinya dalam situasi praktis.
4. Gunakan Jangka Waktu dan Pengulangan
Buat jadwal belajar yang mencakup jangka waktu dan pengulangan. Pembelajaran berulang-ulang dapat membantu memperkuat memori jangka pendek menjadi memori jangka panjang. Pilih waktu yang optimal untuk belajar dan pastikan untuk merinci materi yang akan dihafal setiap harinya.
5. Golongkan Rumus Menjadi Kelompok-Kelompok
Kelompokkan rumus-rumus menjadi kategori-kategori yang . Misalnya, kelompokkan rumus-rumus trigonometri bersama-sama, rumus-rumus aljabar, dan sebagainya. Ini membantu memudahkan pengorganisasian dalam memori Anda.
6. Buat Kartu Ingatan (Flashcards)
Gunakan kartu ingatan untuk mencatat rumus dan definisi. Pada satu sisi kartu, tuliskan rumus, dan pada sisi lainnya, tuliskan penjelasan atau contoh penggunaan rumus tersebut. Kartu ingatan efektif untuk menguji diri dan meningkatkan daya ingat.
7. Bergabung dengan Kelompok Belajar
Bergabung dengan kelompok belajar dapat membantu Anda mendiskusikan dan memahami rumus bersama-sama. Diskusi kelompok dapat memberikan wawasan baru, dan Anda dapat saling membantu mengatasi kesulitan dalam memahami atau mengingat rumus-rumus tertentu.
8. Berlatih dengan Soal-Soal Latihan
Penting untuk tidak hanya menghafal rumus, tetapi juga melibatkan diri dalam pemecahan soal-soal latihan. Praktikkan penerapan rumus dalam berbagai konteks untuk memperkuat pemahaman Anda.
9. Istirahat yang Cukup dan Jaga Kesehatan Mental
Ingatlah untuk memberikan istirahat yang cukup dan jaga kesehatan mental Anda. Kelelahan dan stres dapat mempengaruhi kemampuan belajar dan pengingatan.
Baca juga: les privat
Soal & Pembahasan

Sumber: Freepik
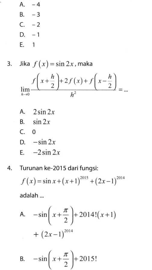
Simak soal matematika berikut ini:




Pembahasan

Sumber: Freepik
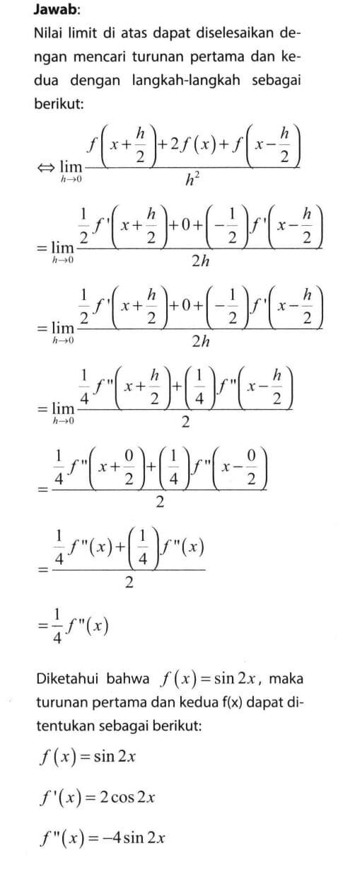
Simak pembahasan materi Matematika Soal Kemampuan IPA SIMAK UI 2015 berikut ini:
Baca juga: les privat jakarta




















