Daftar Isi
Halo sahabat SIMAK UI!
Soal Kemampuan Dasar SIMAK UI Matematika sering dianggap sebagai mata pelajaran yang ditantang oleh sebagian besar siswa. Salah satu masalah umum yang dihadapi banyak pelajar adalah kesalahan dalam menghitung soal matematika. Meskipun konsep dasar telah diajarkan secara rinci, seringkali kita membahas kesalahan dalam perhitungan.
Artikel ini akan mengungkap beberapa alasan mengapa sering terjadi kesalahan dalam menghitung jawaban matematika.
Baca juga: bimbel sbmptn
Penyebab salah menghitung jawaban matematika

Sumber: Freepik
Untuk bisa menjawab dengan benar, kamu harus tahu penyebab seseorang melakukan salah perhitungan dalam menjawab Soal Kemampuan Dasar SIMAK UI matematika. Hindari hal berikut:
1. Kurangnya Konsentrasi
Seringkali kesalahan terjadi karena kurangnya konsentrasi saat menyelesaikan soal matematika. Kesibukan, gangguan, atau ketidaknyamanan dapat mempengaruhi fokus seseorang, yang pada akhirnya dapat menyebabkan kesalahan perhitungan.
2.Ketakutan Terhadap Matematika
Sebagian besar orang mungkin mengalami kecemasan atau ketakutan terhadap matematika. Rasa takut ini dapat mempengaruhi kinerja mereka dan menyebabkan kesalahan dalam penghitungan. Perasaan cemas dapat membuat otak sulit fokus dan berpikir logis.
3. Kurangnya Pemahaman Konsep
Salah satu faktor utama yang menyebabkan kesalahan adalah kurangnya pemahaman terhadap konsep matematika. Jika seseorang tidak memahami dasar-dasar perhitungan, kemungkinan besar mereka akan melakukan kesalahan dalam mengerjakan soal matematika yang lebih kompleks.
4. Kelalaian Saat Mengerjakan
Terkadang, kesalahan muncul karena kelalaian sederhana saat mengerjakan soal. Misalnya, kesalahan penulisan angka, tanda operasi, atau pemilihan rumus yang salah dapat mengakibatkan jawaban yang tidak benar.
5. Kurangnya Latihan
Matematika memerlukan latihan yang konsisten untuk mencapai keahlian yang baik. Kurangnya latihan dapat membuat seseorang lupa dengan konsep-konsep penting dan menyebabkan kesalahan dalam perhitungan.
6. Kesalahan Komputasi
Beberapa kesalahan berasal dari kesalahan komputasi, baik dalam perhitungan manual maupun saat menggunakan kalkulator. mengisyaratkan bahwa setiap langkah perhitungan dijalankan dengan benar sangat penting untuk menghindari kesalahan ini.
7. Kurangnya Penggunaan Strategi
Pemilihan strategi yang tepat untuk menyelesaikan suatu masalah matematika sangat penting. Seringkali siswa mengalami kesulitan karena kurangnya pemahaman terhadap berbagai metode yang dapat digunakan untuk menyelesaikan suatu soal.
8. Tidak Menyadari Kesalahan
Beberapa kesalahan mungkin terjadi karena siswa tidak menyadari adanya kesalahan dalam langkah-langkah perhitungan mereka. Penting untuk kebiasaan untuk melihat jawaban dan langkah-langkah perhitungan secara cermat.
Baca juga: bimbel utbk
Tips menghadapi soal sulit

Sumber: Freepik
Mengerjakan Soal Kemampuan Dasar SIMAK UI matematika yang sulit dapat menjadi pengalaman yang menantang, terutama ketika Anda merasa stuck dan tidak tahu harus mulai dari mana. Namun, dengan pendekatan yang tepat, Anda dapat mengatasi tantangan tersebut dan meningkatkan kemampuan pemecahan masalah Anda.
Berikut adalah beberapa tips yang dapat membantu Anda ketika menghadapi soal yang sulit:
1. Jangan Panik, Tetap Tenang
Ketika Anda menghadapi soal yang sulit, jangan biarkan kekhawatiran mengambil alih. Ambil napas dalam-dalam dan tenangkan pikiran Anda. Kepanikan hanya akan membuat situasi menjadi lebih sulit. Dengan tetap tenang, Anda dapat berpikir dengan lebih jernih dan fokus pada langkah-langkah berikutnya.
2. Baca Soal dengan Teliti
Penting untuk membaca soal dengan seksama. Perhatikan setiap detail dan petunjuk yang diberikan. Terkadang, jawaban atau petunjuk tersembunyi mungkin ada dalam pernyataan atau informasi yang diberikan dalam soal.
3. Identifikasi Konsep Dasar
Jika Anda tidak tahu bagaimana memulai soal, mengenali konsep dasar yang terkait dengan topik tersebut. Tinjau kembali materi pelajaran atau catatan Anda untuk memahami dasar-dasar yang diperlukan. Kadang-kadang, menjelaskan kembali konsep dapat membantu Anda mengenali pola atau hubungan yang dapat digunakan dalam pemecahan soal.
4. Hancurkan
Jika soal terlalu rumit, pecahlah menjadi bagian-bagian yang lebih kecil. Fokuslah pada setiap langkah dan penyelesaian permasalahan yang lebih kecil. Dengan cara ini, Anda dapat mengatasi setiap bagian satu per satu, yang mungkin membuat tugas menjadi lebih terkelola.
5. Gunakan Metode Percobaan dan Kesalahan
Jika Anda tidak yakin dengan langkah yang harus diambil, jangan ragu untuk mencoba berbagai pendekatan. Metode percobaan dan kesalahan dapat membantu Anda menemukan jalur yang benar. Jangan takut untuk membuat kesalahan karena itu adalah bagian alami dari belajar.
6. Ajukan Pertanyaan pada Diri Sendiri
Tanyakan pada diri Anda sendiri pertanyaan yang dapat memandu Anda menuju solusi. Apakah ada informasi tambahan yang diperlukan? Adakah persamaan atau konsep serupa yang telah Anda pelajari sebelumnya? Bertanya pada diri sendiri dapat membantu membuka pikiran Anda terhadap berbagai kemungkinan.
7. Belajar dari Pengalaman
Setelah Anda menyelesaikan soal, tinjau kembali langkah-langkah yang Anda ambil. Area identifikasi yang menyulitkan dan mengingatkan bagaimana Anda dapat mempersiapkan diri lebih baik di masa depan. Proses belajar dari pengalaman akan membantu meningkatkan kemampuan pemecahan masalah Anda secara keseluruhan.
Baca juga: les privat
Soal Kemampuan Dasar SIMAK UI

Sumber: Freepik
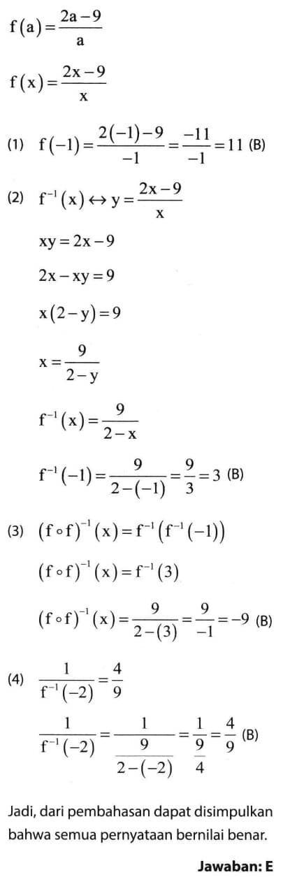
Simak Soal Kemampuan Dasar SIMAK UI berikut ini:






Pembahasan Soal Kemampuan Dasar SIMAK UI

Sumber: Freepik
Simak pembahasan Soal Kemampuan Dasar SIMAK UI berikut:





















Baca juga: les privat jakarta
Jadi, apa lagi yang ditunggu? Hubungi kami segera di line telepon (021) 77844897 atau kamu juga bisa menghubungi kami melalui 0896-2852-2526 . Atau klik www.simakui.id untuk mendapatkan informasi lebih lanjut.
Sampai ketemu di SIMAK UI
Referensi :
- Okezone.com
- IDNTimes.com.





