Daftar Isi
Halo sahabat SimakUI!
Soal Kemampuan Dasar Matematika sering kali dianggap sebagai mata pelajaran yang menantang bagi sebagian besar orang. Bagi sebagian, mencoba memecahkan soal matematika dapat menyebabkan tingkat frustrasi yang tinggi. Salah satu jenis soal yang seringkali menjadi batu sandungan bagi banyak orang adalah soal kemampuan dasar matematika.
Soal-soal ini dapat bervariasi mulai dari hitungan sederhana hingga permasalahan yang memerlukan pemahaman konsep yang lebih dalam. Berikut adalah beberapa alasan mengapa banyak orang mengalami kesulitan dalam memecahkan soal kemampuan dasar matematika.
Baca juga: bimbel sbmptn
Mengapa Sulit Memecahkan Soal Kemampuan Dasar Matematika?

Sumber: Freepik
Matematika adalah subjek yang sering kali menjadi tantangan bagi banyak orang. Namun, dengan pendekatan yang tepat, Kamu dapat meningkatkan kemampuanmu dalam menyelesaikan soal matematika dengan cepat dan efektif.
Berikut adalah beberapa tips yang dapat membantu menemukan jawaban Soal Matematika dengan lebih efisien:
1. Pahami materi dengan benar
Sebelum mencoba menyelesaikan soal, pastikan Kamu memahami konsep dasar yang terlibat. Memiliki pemahaman yang kuat tentang konsep-konsep dasar seperti operasi matematika, bilangan, pecahan, dan persentase akan membantumu memecahkan berbagai jenis soal dengan lebih mudah.
2. Baca Soal dengan Cermat
Ketika diberikan sebuah soal, baca dengan cermat dan pastikan Kamu memahami apa yang diminta. Identifikasi informasi penting seperti data atau angka yang diberikan, serta apa yang perlu Kamu cari atau hitung.
3. Identifikasi Strategi Penyelesaian
Setelah membaca soal, cari strategi penyelesaian yang paling sesuai. Apakah ini memerlukan operasi matematika sederhana, atau apakah Kamu perlu menggunakan konsep atau rumus tertentu? Identifikasi langkah-langkah yang diperlukan untuk menyelesaikan soal tersebut sebelum mulai menghitung.
4. Gunakan Metode Pendekatan
Kadang-kadang, ada lebih dari satu cara untuk menyelesaikan sebuah soal. Cari metode atau pendekatan yang paling efisien untuk menemukan jawaban. Misalnya, dalam soal yang melibatkan pecahan, Kamu dapat memilih untuk menyederhanakan pecahan terlebih dahulu sebelum melakukan operasi matematika lainnya.
5. Praktek yang Konsisten
Seperti halnya keterampilan lainnya, kemampuan matematika juga memerlukan latihan yang konsisten. Luangkan waktu untuk mempraktekkan berbagai jenis soal matematika secara teratur. Semakin sering berlatih, semakin cepat Kamu akan menjadi dalam menyelesaikan soal.
6. Manfaatkan Rumus dan Tabel Referensi
Jika ada rumus atau tabel referensi yang dapat membantumu menyelesaikan soal, manfaatkanlah dengan baik. Misalnya, jika Kamu menghadapi soal yang melibatkan konversi satuan, pastikan Kamu memiliki akses ke tabel konversi yang relevan.
7. Jaga Waktu
Saat mengerjakan soal matematika, penting untuk mengatur waktu dengan baik. Jangan terlalu lama terpaku pada satu soal. Jika Kamu merasa kesulitan, lewati dulu dan lanjutkan dengan soal lainnya. Kamu dapat kembali ke soal yang sulit setelah menyelesaikan yang lain.
8. Verifikasi Jawaban
Setelah menemukan jawabanmu, luangkan waktu untuk memverifikasinya. Kembali ke soal dan pastikan bahwa jawabanmu masuk akal dan sesuai dengan pertanyaan yang diajukan.
Baca juga: les privat
Soal Kemampuan Dasar Matematika

Sumber: Freepik
Simak soal Soal Matematika :







Baca juga: les privat jakarta
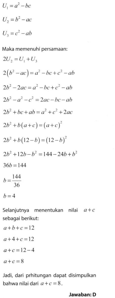
Pembahasan Soal Kemampuan Dasar Matematika

Sumber: Freepik
Simak Pembahasan Soal Kemampuan Dasar Matematika berikut:































Jadi, apa lagi yang ditunggu? Hubungi kami segera di line telepon (021) 77844897 atau kamu juga bisa menghubungi kami via 0896-2852-2526. Atau klik www.simakui.id untuk mendapatkan informasi lebih lanjut.
Sampai ketemu di SIMAK UI
Referensi :
- Brilio.net
- liputan6.com





