Halo sahabat SIMAK UI!
Saat berbicara tentang Seleksi Masuk Universitas Indonesia (SIMAK UI), masalah kemampuan dasar selalu menjadi sorotan utama. Soal kemampuan dasar matematika pada ujian tersebut menantang para calon siswa dengan tingkat kesulitan yang cukup tinggi. Mari kita telah bersama beberapa soal matematika paling sulit pada SIMAK UI 2017.
Baca juga: bimbel sbmptn
Daftar Isi
Soal matematika paling sulit SIMAK UI 2017

Sumber: Freepik
- Persamaan Diferensial dan Integral
Salah satu bab yang menjadi fokus pada soal kemampuan dasar adalah persamaan diferensial dan integral. Soal pada topik ini tidak hanya menguji pemahaman konsep dasar tetapi juga kemampuan menganalisis dan menyelesaikan masalah dengan menggunakan konsep-konsep tersebut. Mahasiswa Calon diharapkan mampu menerapkan pengetahuan mereka dalam menyelesaikan masalah yang kompleks.
- Matriks dan Ruang Vektor
Materi matriks dan ruang vektor seringkali menjadi momok bagi banyak pelajar. Pada soal kemampuan dasar, terdapat soal yang meminta calon siswa untuk menunjukkan pemahaman mereka dalam operasi-operasi matriks dan konsep ruang vektor. Membantu soal ini terletak pada kebutuhan untuk menggabungkan pemahaman teoritis dan keterampilan komputasional.
- Kalkulus Multivariabel
Kalkulus multivariabel juga mendapat sorotan pada ujian tersebut. Soal-soal pada topik ini tidak hanya menuntut pemahaman terhadap konsep dasar kalkulus, tetapi juga kemampuan berpikir analitis dan visualisasi dalam tiga dimensi. Calon mahasiswa dihadapkan pada situasi di mana mereka harus mampu menggeneralisasi konsep-konsep kalkulus dari dimensi satu ke dimensi yang lebih tinggi.
- Teori Bilangan
Pada SIMAK UI 2017, terdapat soal-soal yang melibatkan teori bilangan, yang seringkali dianggap sebagai cabang matematika yang cukup abstrak. Mahasiswa Calon diharapkan mampu memahami dan menyelesaikan masalah-masalah terkait dengan sifat-sifat bilangan bulat, prima, dan lain-lain. Tingkat kesulitan soal ini terletak pada kompleksitas konsep dan kebutuhan untuk menerapkan pemikiran deduktif secara cermat.
- Kombinatorika dan Peluang
Kombinatorika dan peluang juga menjadi bagian integral dari soal matematika pada SIMAK UI 2017. Mahasiswa Calon diuji dalam kemampuan menghitung variasi dan kombinasi, serta memahami konsep peluang yang melibatkan situasi-situasi kompleks. Pemecahan masalah ini terletak pada kemampuan untuk merumuskan masalah dengan benar dan menerapkan pendekatan yang tepat dalam penyelesaiannya.
Baca juga: bimbel utbk
Strategi kilat menjawab soal Matematika pada SIMAK UI 2017

Sumber: Freepik
Soal kemampuan dasar SIMAK UI merupakan salah satu ujian yang sangat bergengsi dan diminati oleh para calon mahasiswa yang bercita-cita untuk melanjutkan studi di Universitas Indonesia. Salah satu komponen ujian tersebut adalah kemampuan Dasar, yang mencakup berbagai mata pelajaran, termasuk Matematika. Untuk membantu Anda meraih hasil terbaik, berikut adalah beberapa strategi super kilat dalam menjawab soal Matematika pada SIMAK UI 2017:
1. Pahami Pola dan Format Soal
Sebelum memulai mengerjakan soal, luangkan waktu untuk memahami pola dan format soal yang sering muncul pada ujian sebelumnya. SIMAK UI memiliki ciri khas tertentu dalam penyusunan soal Matematika. Dengan memahami pola ini, Anda dapat lebih cepat mengidentifikasi jenis soal dan menentukan pendekatan yang tepat.
2. Prioritaskan Soal yang Dikuasai
Berdasarkan pengalaman dan persiapan sebelumnya, mengidentifikasi jenis soal yang paling Anda kuasai. Mulailah mengerjakan soal-soal tersebut terlebih dahulu. Ini dapat membantu Anda memastikan bahwa Anda mendapatkan sejumlah poin yang cukup sebelum melanjutkan ke soal-soal yang mungkin lebih sulit.
3. Manfaatkan Teknik Estimasi
Dalam ujian yang memiliki batasan waktu, teknik estimasi dapat menjadi kunci kesuksesan. Jika Anda menghadapi soal yang terlihat kompleks, sensitif untuk menggunakan angka kasar atau meremehkan jawaban. Ini membantu Anda menghemat waktu dan fokus pada soal-soal lain yang mungkin lebih dapat diselesaikan dengan cepat.
4. Terlalu Lama pada Satu Soal
Jika Anda memecahkan kesulitan dalam menjawab soal kemampuan dasar, jangan terlalu lama membaca pada soal tersebut. Segera pindah ke soal berikutnya dan kembali ke soal yang sulit jika waktu memungkinkan. Ini dapat memastikan bahwa Anda mendapatkan poin sebanyak mungkin tanpa mengorbankan waktu yang berlebihan pada satu soal tertentu.
5. Bersiap dengan Rumus dan Konsep Dasar
Sebelum ujian, pastikan Anda telah menguasai rumus dan konsep dasar Matematika yang umum muncul dalam SIMAK UI. Dengan memiliki dasar yang kuat, Anda dapat dengan cepat mengenali dan mengerjakan soal-soal yang melibatkan konsep tersebut tanpa perlu membuang-buang waktu untuk mengingat suatu rumus.
Baca juga: les privat
Soal kemampuan dasar SIMAK UI 2017 (Matematika)

Sumber: Freepik
Simak Soal SIMAK UI 2017 (Matematika) berikut:






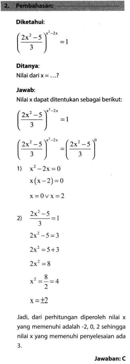
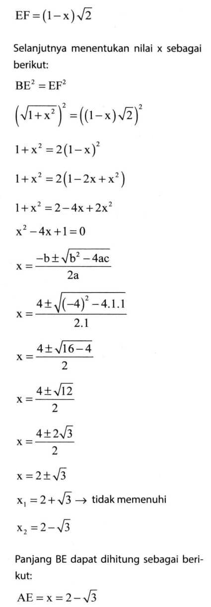
Pembahasan Soal kemampuan dasar SIMAK UI 2017 (Matematika)

Sumber: Freepik
Simak pembahasan Soal SIMAK UI 2017 (Matematika) berikut:





















Baca juga: les privat jakarta
Jadi, apa lagi yang ditunggu? Hubungi kami segera di line telepon (021) 77844897 atau kamu juga bisa menghubungi kami melalui 0896-2852-2526 . Atau klik www.simakui.id untuk mendapatkan informasi lebih lanjut.
Sampai ketemu di SIMAK UI
Referensi :
- kompas.com
- suara.com




